The letter is called an IRS Notice CP2000, and it gives detailed information about issues the IRS identified and provides steps taxpayers should take to resolve those issues. This isn’t a formal audit notification, but a notice to see if the taxpayer agrees or disagrees with the proposed tax changes.

How do you respond to a CP2000 notice?

You can return your response by mail or fax to the return address or fax number shown on the notice. Use the return envelope when responding through the mail. If you agree with the proposed changes, follow the instructions to sign response form.

What does the IRS follow up notice cp3219a mean?

That follow-up notice is called an IRS Notice CP3219A, Statutory Notice of Deficiency. This notice gives detailed information about why the IRS proposes a tax change and how the agency determined the change. The notice tells taxpayers about their right to challenge the decision in Tax Court.

What’s the difference between notice cp2030 and notice cp2531?

Notice CP2030 is essentially the same in effect as Notice CP2531. Both indicate that the IRS has information that did not appear on the business tax return. This is not a bill and not an audit but is a math adjustment based on third party records. The IRS could audit you later.

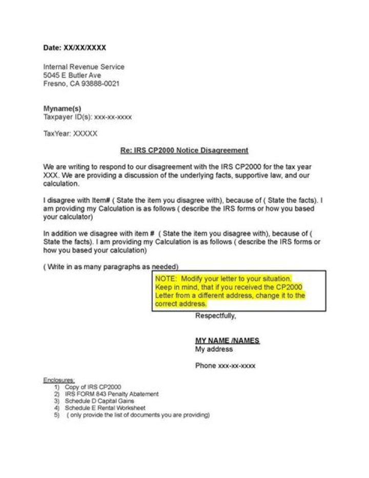
The CP2000 is a computuer generated notice, and is quite common. If the information reported to the IRS by 3rd parties doesn’t seem to match the amounts on your return, you will receive one of these notices. It is not a bill. The IRS simply says that it is a letter to inform you about information they received that may affect your tax due.

How can I get more information about my CP2000 notice?

If taxpayers are uncertain about the validity of a CP2000 notice, their options for getting more information include visiting Understanding Your CP2000 Notice on IRS.gov or viewing IRS YouTube videos. The IRS released two YouTube videos to help taxpayers understand what happens when the IRS proposes changes to a tax return.

How long to respond to IRS Notice CP2000?

Please follow the Prep Steps for IRS Notice CP2000 and see Mr. Hopkins in Colorado Springs or Pueblo before proceeding. You only have 60 days to respond!

What happens if you fail to include CP2000 in 2015 tax return?

If they’re correct and you failed to include it on the 2015 return, no amendment is necessary. You would just pay the bill. The taxes on that money was due back in April 2016, so the taxes are late and penalties and interest will apply.

What does an underreporter inquiry CP2000 mean?

It’s usually a CP2000 notice, also called an underreporter inquiry. This notice basically proposes taxes, and possibly penalties, you might owe for missing income on your return.

Are there any issues with the Intel C2000?

Synology: The company is extending the warranty of Intel Atom C2000 series models. It says it is working on a fix even after having shipped “hundreds of thousands” of devices based on the processor. Synology is also the first vendor to publicly acknowledge Intel’s Atom C2000 is faulty. ASRock Rack: Not seeing major issues from customers yet.

Is there a warranty on the Cisco C2000?

Cisco: Cisco has been extremely proactive on this. There is a full support page on the issue. They are replacing products for customers under warranty/ support contract as of November 16, 2016.

What to do if you get a CP2000 inquiry?

Gather all the information statements under your Social Security Number. These are the forms you get at tax time reporting your income for the year (like W-2s and 1099s). Compare those statements with your tax return to see whether you left any income off your return. If so, you’ll need to properly calculate any additional tax that you may owe.

How long do you have to respond to a CP2000 notice?

You will usually have 30 days to respond to a CP2000 notice. If you need more time to find the documents you need, you can call the IRS to ask for more time. They will usually grant one 30-day extension if your original deadline hasn’t passed. An extension does not pause interest and penalties.

What happens if you receive an incorrect CP2000?

Because Form 1040X routinely gets routed to an IRS filing unit, rather than the underreporting function at the IRS. In the end, the IRS may not process the Form 1040X as a reply. The IRS will assess the CP2000 tax, and a mess happens when you try to correct the issue. 5. Appeal or ask for CP2000 reconsideration if you disagree with the IRS.

How is a CP2000 notice different from a full audit?

A CP2000 notice is sometimes referred to as a paper audit. This is because everything happens by mail. You get the notice, then either pay or send in documents that support your original tax return. However, unlike full audits, the IRS has already made a decision.


How can I get a copy of my CP2000 notice?

You can get help at an IRS Taxpayer Assistance Center. If you choose to file an amended return, write “CP2000” on top of your return and attach it behind your completed response form. Send the information in the envelope provided or fax it to the number shown on the notice. How can I get a copy of my original return?

Do you need to amend your CP2000 return?

If the information displayed in the CP2000 notice is correct, you do not need to amend your return unless you have additional income, credits or expenses to report. If you agree with our notice, follow the instructions to sign and return the response form in the envelope provided or fax it to the number shown on the notice.