Then, multiply all the numbers together and raise their product to the power of one divided by the count of the numbers in the series. Then, we subtract one from the result. The result gives a geometric average annual return of -20.08%.

What is the geometric average of these returns?

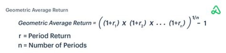
The geometric average return formula (also known as geometric mean return) is a way to calculate the average rate of return on an investment that is compounded over multiple periods. Put simply, the geometric average return takes into account the compound interest over the number of periods.

What is the geometric mean of the returns?

The geometric mean is the average rate of return of a set of values calculated using the products of the terms. For volatile numbers, the geometric average provides a far more accurate measurement of the true return by taking into account year-over-year compounding that smooths the average.

What is geometric length stay?

Geometric mean is a statistical/mathematical term that is applied in many other areas outside of health care. This is calculated by multiplying all of the lengths of stay and then taking the nth root of that number (where n=number of patients).

What is the difference between arithmetic and geometric returns?

Arithmetic returns are the everyday calculation of the average. The geometric mean is calculated by multiplying all the (1+ returns), taking the n-th root and subtracting the initial capital (1). The result is the same as compounding the returns across the years.

What is Blume’s formula?

Blume’s formula is Return = (T – 1) / (N – 1) * Geometric average + (N – T) / (N – 1) * Arithmetic average.

What is expected length of stay?

the length of time an individual is expected to live in a PCH, based on the person’s age, sex and level of care at time of admission.

How do you find the mean length of stay?

Average Length of Stay: The average length of stay is calculated by adding the total length of stay for each discharged resident in the month and dividing by the number of discharge residents in a month. The average length of stay can be calculated for the entire facility or by specialty unit/program.

What is the difference between the arithmetic average return and the geometric average return?

Arithmetic returns are the everyday calculation of the average. You take the series of returns (in this case, annual figures), add them up and then divide the total by the number of returns in the series. Geometric returns (also called compound returns) involve slightly more complicated maths.

What is the Blume Adjustment?

The Blume method is a method used to adjust the market beta. It corrects the estimated market beta of security for its tendency to revert to 1. It adjusts the beta in such a way that the market beta is closer to the expected beta in the future. The Blume adjusted beta is usually referred to as the forecasted beta.

Why the length of stay in inpatients facilities is dropping and what is causing it to drop?

Length of stay at US acute care hospitals has been steadily decreasing since 19601 for a variety of reasons, which include changes in medical technology and customary medical practice, and financial pressures including salary demands and changes in hospital reimbursement2–4.

Why is the length of stay Important?

Background. The length of stay (LOS) is an important indicator of the efficiency of hospital management. Reduction in the number of inpatient days results in decreased risk of infection and medication side effects, improvement in the quality of treatment, and increased hospital profit with more efficient bed management …

Is length of stay a quality measure?

Length of stay (LOS) has been suggested as a meaningful outcome measure that is a potential target for quality improvement activities. The American College of Surgeons Committee on Trauma uses LOS as an example outcome measure for a performance improvement program.

What is the geometric average return over the 10 year period?

0.0274
The geometric average return over the 10-year period is 0.0274 (Round to four decimal places.) Ten annual returns are listed in the following table: 1.3% 45.1%.

Why are betas mean reverting?

Beta measures a security’s volatility, or systematic risk, relative to the movements in the overall market. Because most companies tend to grow in size, become more diversified, and own more assets, over time, their beta values fluctuate less, resulting in beta mean reversion.

How do you reduce length of stay?

Sanjeev AgrawalFollow

  1. Right-Size Unit Capacity.
  2. Ensure Proper Patient Placement.
  3. Manage/Forecast Spikes in Census.
  4. Smooth Patient Flow from the Operating Room (OR)
  5. Reduce Delays in Admission from the ED.
  6. Address Provider Workflow.
  7. Take a Hard Look at Hours of Operation.
  8. Use Predictive Discharge Planning to Focus Case Teams.

Why do hospitals want to reduce length of stay?

What is average length stay?

Average length of stay refers to the average number of days that patients spend in hospital. It is generally measured by dividing the total number of days stayed by all inpatients during a year by the number of admissions or discharges.

The geometric mean is the average rate of return of a set of values calculated using the products of the terms. Most returns in finance are correlated, including yields on bonds, stock returns, and market risk premiums.

What is the geometric average return for the period?

The geometric mean return formula is used to calculate the average rate per period on an investment that is compounded over multiple periods. The geometric mean return may also be referred to as the geometric average return.

How do you find the geometric return of arithmetic return?

The geometric mean is calculated by multiplying all the (1+ returns), taking the n-th root and subtracting the initial capital (1). The result is the same as compounding the returns across the years.

What is the geometric progression formula?

In a geometric progression, each successive term is obtained by multiplying the common ratio to its preceding term. The sum of infinite GP formula is given as: Sn=a1−r S n = a 1 − r where |r|<1.

What is difference between arithmetic mean and geometric mean?

Geometric mean is the calculation of mean or average of series of values of product which takes into account the effect of compounding and it is used for determining the performance of investment whereas arithmetic mean is the calculation of mean by sum of total of values divided by number of values.

The geometric average return over the 10-year period is 0.0274 (Round to four decimal places.) Ten annual returns are listed in the following table: 1.3% 45.1%.

What is the geometric mean rate of return on investment?

Geometric mean, sometimes referred to as compounded annual growth rate or time-weighted rate of return, is the average rate of return of a set of values calculated using the products of the terms. What does that mean? Geometric mean takes several values and multiplies them together and sets them to the 1/nth power.

What is the difference between arithmetic mean and geometric mean return?

How to calculate the geometric average return for a year?

If you were to calculate this using the arithmetic mean return, you would add the rates together and divide them by three, giving you an average of 6%. Using this method the ending balance of 6% a year for three years would be $5,955.08. Let’s take a look at the geometric average return formula and see how it compares:

Which is an example of a geometric mean?

The geometric mean can be referred to as the geometric average, the compounded annual growth rate, or the time-weighted rate of return. It’s the average return rate for a set of values that is calculated using the products of the terms. In other words, the geometric average takes several values (the return rates), multiplies them all together.

How is the average return of a series calculated?

Average return, as in simple average, is calculated by adding a set of numbers into a single sum. Although there are several concepts used to calculate the average return, the arithmetic average return is computed by taking the total sum of numbers divided by the total count of the numbers in the series as given by the following formula:

What do you mean by average return in math?

Average return is the mathematical average of a sequence of returns that have accrued over time. In its simplest terms, average return is the total return over a time period divided by the number of periods.